Raltron Crystal模型與電路特性
來源:http://m.benpai.com.cn 作者:金洛鑫電子 2019年03月06
RALTRON ELECTRONICS公司專注于頻率控制元器件行業的發展與研究,旗下經營的石英元件種類有16種,包括常見和非常規類型的,銷售網絡遍布亞洲,美洲,非洲,中東和歐洲等一百多個國家。石英晶體是Raltron晶振公司產量大,銷量好的產品之一,今天金洛鑫電子帶大家看看,探討一下關于Raltron Crystal的電路特性,和它的模型,并且計算石英晶體的串聯頻率,反諧振頻率,加載頻率和阻抗公式。
石英晶體諧振器是將電能轉換為機械能的壓電器件,反之亦然。轉換發生在共振頻率。石英晶體可以建模如下:
Lm:(運動電感)代表晶體的振動質量
Cm:(運動電容)代表晶體的彈性
Rm:(運動阻力)代表電路損耗
晶體的阻抗由下式給出(假設Rm可忽略不計):
(1)
當阻抗Z=0時,Fs是串聯諧振頻率。其表達式可以從等式(1)推導出如下:
(2)
Fa是阻抗Z趨于無窮大時的反諧振頻率。使用等式(1),表示如下:
(3)
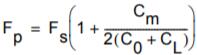
由Fs和Fa劃分的區域通常稱為平行共振區域(圖2中的陰影區域)。在該區域中,晶體以并聯諧振方式工作,并且表現為電感,在環路中增加等于180°的相位。其頻率Fp(或FL:加載頻率)具有以下表達式:
(4)
從等式(4)可以看出,可以通過改變CL負載電容來調節石英晶體的振蕩頻率。這就是為什么在他們的數據表中,晶體制造商指出使晶體在標稱頻率下振蕩所需的精確CL。
表2給出了具有8MHz標稱頻率的等效晶體電路元件值的示例。
Fs=7988768Hz,Fa=8008102Hz.
如果晶振晶體電極上的負載電容CL等于10pF,晶體將以下列頻率振蕩:Fp=7995695Hz.要使振蕩頻率恰好為8MHz,CL應等于4.02pF。
以上資料主要是提供給廣大工廠和企業的工程技術人員,幫助他們能夠更了解石英晶振,精準的設計產品方案,而且金洛鑫電子可以提供美國Raltron晶振的原裝正品,一手貨源,快速交期。如工程還需要其他相關的技術資料,或歐美晶振產品詳細規格書,也可以提供,用心服務每一位客戶。
石英晶體諧振器是將電能轉換為機械能的壓電器件,反之亦然。轉換發生在共振頻率。石英晶體可以建模如下:
圖1.石英晶體模型
C0:表示由電極形成的電容器產生的并聯電容Lm:(運動電感)代表晶體的振動質量
Cm:(運動電容)代表晶體的彈性
Rm:(運動阻力)代表電路損耗
晶體的阻抗由下式給出(假設Rm可忽略不計):
(1)

當阻抗Z=0時,Fs是串聯諧振頻率。其表達式可以從等式(1)推導出如下:
(2)

Fa是阻抗Z趨于無窮大時的反諧振頻率。使用等式(1),表示如下:
(3)

由Fs和Fa劃分的區域通常稱為平行共振區域(圖2中的陰影區域)。在該區域中,晶體以并聯諧振方式工作,并且表現為電感,在環路中增加等于180°的相位。其頻率Fp(或FL:加載頻率)具有以下表達式:
(4)

從等式(4)可以看出,可以通過改變CL負載電容來調節石英晶體的振蕩頻率。這就是為什么在他們的數據表中,晶體制造商指出使晶體在標稱頻率下振蕩所需的精確CL。
表2給出了具有8MHz標稱頻率的等效晶體電路元件值的示例。
表2.等效電路參數示例
使用等式(2),(3)和(4),我們可以確定該晶體的Fs,Fa和Fp:Fs=7988768Hz,Fa=8008102Hz.
如果晶振晶體電極上的負載電容CL等于10pF,晶體將以下列頻率振蕩:Fp=7995695Hz.要使振蕩頻率恰好為8MHz,CL應等于4.02pF。
以上資料主要是提供給廣大工廠和企業的工程技術人員,幫助他們能夠更了解石英晶振,精準的設計產品方案,而且金洛鑫電子可以提供美國Raltron晶振的原裝正品,一手貨源,快速交期。如工程還需要其他相關的技術資料,或歐美晶振產品詳細規格書,也可以提供,用心服務每一位客戶。
正在載入評論數據...
相關資訊
- [2025-09-03]Greenray公司是一家領先的美國精...
- [2025-09-02]CTS公司生產的293系列操縱桿編碼...
- [2020-01-09]石英晶體無塵生產車間
- [2019-07-11]剪切正弦波到CMOS轉換電路
- [2019-05-25]晶振匹配測試
- [2019-03-22]電子束密封1612晶振生產特性
- [2019-03-06]Raltron Crystal模型與電路特性...
- [2018-10-17]石英晶振工廠外景





業務經理
客服經理