X形與XY切割的音叉晶振特性
來源:http://m.benpai.com.cn 作者:金洛鑫電子 2019年04月12
圓柱型插件32.768K封裝的時鐘晶體,一般除了叫圓柱晶振業界的人也將其叫做音叉晶振,是因為它的外形似音叉,是石英水晶組件中使用數量比較多的一種,據不完全統計,每年我國消耗掉的音叉晶振多達50億顆左右。主要是用在時鐘,計時,定時,計數,數字顯示等模塊,常見的封裝尺寸有3*8mm,2*6mm,4.6*1.2mm,5.0*1.5mm等。以下內容是金洛鑫電子整理的,關于音叉晶體,音叉振蕩器的X形,XY切割資料及特性。
熟悉的帶音桿的音叉形狀來自英國幕布小號手JohnShore。在音樂方面,由于其高振動質量(打擊后的振蕩時間)和良好的頻率恒定性,音叉晶振非常重要。早在1880年,R.Koenig(Wied.Ann.Bd.9)描述了一款帶有電動音叉的手表。Rayleigh勛爵的1907年出版物(Phil.Mag。,13)和Eccles(Proc.Phys.1919)展示了電子激勵調諧叉測量頻率的首次應用。為實現Gleichwellen-Rundfunk1927,金屬調諧叉用于控制發射機頻率。根據Chladni(Akustik,Ziff.99,Leipzig1802)的說法,人們可以將音叉想象成一個彎曲的桿,它可以進行彎曲振動。然而,振動節點更靠近在一起。在帶有桿的音叉的情況下,連接到波腹的桿導致縱向振動。Rayghleig勛爵已經指出通過適當的叉子成形來解除莖干的可能性。根據這些想法,自然共振的共振頻率必須對應于彎曲振動。
晶振頻率取決于齒的長度和寬度。鋅的厚度對頻率沒有影響,但對頻率的溫度響應有影響。許多作者已經指定了用于計算叉振動的固有頻率的校正因子,但它們總是僅適用于特定形狀的牙齒。叉共振的泛音表現得像根音
1:6.25;18.3;35.6(對稱振動)
1:12.2;23.5(不平衡振蕩)

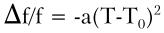
圖2.15X-cut-音叉振動器
X形截面的叉形振蕩器:
在最簡單的情況下,如在X形彎曲振動器中那樣從山頂切出山墻。出現了頻率的不利溫度響應的相同缺點。通過適當的叉形桿的成形可以解耦,使得腳上的叉可以是低衰減的。只有在蝕刻過程中的生產過程中,這種措施才是經濟可行的。圖2.15顯示了X剖面中的叉擺r。切割角度和電極布置與X切割彎曲擺動保持一致。
XY'切割中的叉形振蕩器:
如在XY'彎曲石英晶體振蕩器下所描述的,彎曲運動的激勵通過用于橫向場激勵的電極布置來實現。在薄蝕刻移植物的情況下,橫向場由在叉的邊緣處的兩個非常窄的電極產生(圖2.17)。

圖2.17XY'-cut叉振動器
音叉石英晶振的電氣特性:
熟悉的帶音桿的音叉形狀來自英國幕布小號手JohnShore。在音樂方面,由于其高振動質量(打擊后的振蕩時間)和良好的頻率恒定性,音叉晶振非常重要。早在1880年,R.Koenig(Wied.Ann.Bd.9)描述了一款帶有電動音叉的手表。Rayleigh勛爵的1907年出版物(Phil.Mag。,13)和Eccles(Proc.Phys.1919)展示了電子激勵調諧叉測量頻率的首次應用。為實現Gleichwellen-Rundfunk1927,金屬調諧叉用于控制發射機頻率。根據Chladni(Akustik,Ziff.99,Leipzig1802)的說法,人們可以將音叉想象成一個彎曲的桿,它可以進行彎曲振動。然而,振動節點更靠近在一起。在帶有桿的音叉的情況下,連接到波腹的桿導致縱向振動。Rayghleig勛爵已經指出通過適當的叉子成形來解除莖干的可能性。根據這些想法,自然共振的共振頻率必須對應于彎曲振動。

1:6.25;18.3;35.6(對稱振動)
1:12.2;23.5(不平衡振蕩)

圖2.15X-cut-音叉振動器
在最簡單的情況下,如在X形彎曲振動器中那樣從山頂切出山墻。出現了頻率的不利溫度響應的相同缺點。通過適當的叉形桿的成形可以解耦,使得腳上的叉可以是低衰減的。只有在蝕刻過程中的生產過程中,這種措施才是經濟可行的。圖2.15顯示了X剖面中的叉擺r。切割角度和電極布置與X切割彎曲擺動保持一致。
XY'切割中的叉形振蕩器:
如在XY'彎曲石英晶體振蕩器下所描述的,彎曲運動的激勵通過用于橫向場激勵的電極布置來實現。在薄蝕刻移植物的情況下,橫向場由在叉的邊緣處的兩個非常窄的電極產生(圖2.17)。

圖2.17XY'-cut叉振動器
*蝕刻技術的生產=鋸=S
頻率的溫度響應對應于彎曲振蕩器
比如:
拋物線開口常數a為0.038...0.045ppm/°C2
音叉晶振除了有插件形以外,貼片型的音叉石英晶振是目前市場上最常用的,尤其是4115晶振,3215晶振,2012晶振,1610晶振這幾種尺寸的,比插件的穩定性更好,精度更高,成本也比較高。日本和臺灣專門生產這種晶振的廠家比較多,例如金洛鑫電子代理的KDS晶振,西鐵城晶振,精工晶振,愛普生晶振,鴻星晶振,TXC晶振,泰藝晶振,亞陶晶振,希華晶振等品牌。部分料號長期備有現貨庫存,交期快,訂購熱線:0755-27837162。頻率的溫度響應對應于彎曲振蕩器
比如:

拋物線開口常數a為0.038...0.045ppm/°C2
正在載入評論數據...
相關資訊
- [2025-08-29]CTS致力于成為技術的前沿提供創...
- [2025-08-29]Diodes宣布推出一款智能48通道L...
- [2025-08-25]Rakon瑞康為什么應該放棄標準CO...
- [2025-08-25]Transko特蘭斯科推出了結合MEMS...
- [2025-08-23]SiT5503超精密溫度補償晶體振蕩...
- [2025-08-23]探索SiTime專為導航航空航天和國...
- [2024-04-11]CTECH濾波器型號數據列表CLB75P...
- [2024-03-18]Statek晶振產品應用CX20SCSM1-1...





業務經理
客服經理